Skip to Main Content
Create a Website Account
- Manage notification subscriptions, save form progress and more.
Website Sign In
Government
Services
Community
How Do I...
Watch City Commission Meetings
Manage utility billing
Employment Opportunities
/QuickLinks.aspx
Search
Home
Government
Boards & Commissions
City Commission
City Secretary
May 2, 2026 General Election
May 2, 2026 General Election
May 2, 2026 General Election
Notice of Deadline to File Application
Notice of Deadline to File an Application May 2 2026 General Election
Notice of Future Elections May 2, 2026
Notice of Future Elections May 2, 2026
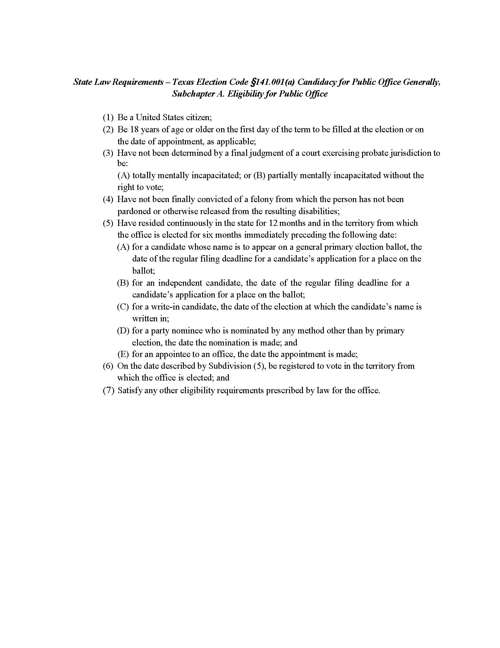
Eligibility Requirements for Candidates
Candidate Eligibility Requirements
Candidate Eligibility Requirements
Order 2026-001 City of San Benito General Election
Order 2026-001 City of San Benito General Election
Order 2026-001 City of San Benito General Election
May 2, 2026 Special Election
Bids, RFPs, RFQs
Meetings & Agendas
Transparency
Payments
Notify Me®
Citizen Concerns
Government Websites by
CivicPlus®
Loading
Loading
Arrow Left
Arrow Right
[]
Slideshow Left Arrow
Slideshow Right Arrow